2025 Vol.37(4)
Display Mode: |
2025, 37(4): 487-489.
doi: 10.21147/j.issn.1000-9604.2025.04.01
Abstract:
2025, 37(4): 490-504.
doi: 10.21147/j.issn.1000-9604.2025.04.02
Abstract:
The clinical efficacy of immunotherapy in acute myeloid leukemia (AML) remains significantly limited by early relapse and treatment-associated toxicities. This review examines recent advances in antibody- and cell-based immunotherapies for AML, focusing on established targets (CD33, CD123, and CLL1) as well as emerging targets (including CD7, CD70, CD38, and FLT3). Therapeutic modalities discussed include immunoconjugates, bispecific T-cell engagers and chimeric antigen receptor T (CAR-T) cells. Furthermore, we summarize the current challenges impeding the success of immunotherapy in AML and propose strategies to enhance its efficacy. These include combination therapies, structural optimization of CAR constructs, functional enhancement of CAR-T cells, identification of novel targets, and the development of next-generation cellular therapies. Collectively, these approaches aim to offer new insights for improving immunotherapeutic outcomes in AML.
The clinical efficacy of immunotherapy in acute myeloid leukemia (AML) remains significantly limited by early relapse and treatment-associated toxicities. This review examines recent advances in antibody- and cell-based immunotherapies for AML, focusing on established targets (CD33, CD123, and CLL1) as well as emerging targets (including CD7, CD70, CD38, and FLT3). Therapeutic modalities discussed include immunoconjugates, bispecific T-cell engagers and chimeric antigen receptor T (CAR-T) cells. Furthermore, we summarize the current challenges impeding the success of immunotherapy in AML and propose strategies to enhance its efficacy. These include combination therapies, structural optimization of CAR constructs, functional enhancement of CAR-T cells, identification of novel targets, and the development of next-generation cellular therapies. Collectively, these approaches aim to offer new insights for improving immunotherapeutic outcomes in AML.
2025, 37(4): 505-520.
doi: 10.21147/j.issn.1000-9604.2025.04.03
Abstract:
Autologous stem cell transplantation (ASCT) and chimeric antigen receptor T-cell (CAR-T) therapy represent pivotal treatments for hematologic malignancies, each with distinct strengths and limitations. ASCT reduces tumor burden through myeloablative conditioning but remains susceptible to relapse, while CAR-T therapy precisely targets malignant cells but encounters challenges, including cytokine release syndrome (CRS), immune effector cell-associated neurotoxicity syndrome (ICANS), and limited persistence. Emerging evidence suggests that combining ASCT with CAR-T therapy yields synergistic effects. ASCT reshapes the immune microenvironment, lowers immunosuppressive cells and CRS risk, while CAR-T eliminates residual disease and promotes immune recovery. Clinical trials in relapsed/refractory B-cell lymphomas and multiple myeloma demonstrate complete remission rates (CRR) of 72%−100% and two-year progression-free survival (PFS) rates of 59%−83%, with severe CRS/ICANS incidences below 10%. However, the precise mechanisms underlying this synergy, optimal timing of CAR-T infusion after ASCT, and ideal dosing regimens require further definition. Future research should prioritize large-scale, randomized controlled trials and establish standardized protocols for toxicity management to maximize therapeutic benefits. By integrating the complementary strengths of ASCT and CAR-T, this combination strategy represents a promising approach for improving outcomes in high-risk hematologic malignancies; however, additional studies are necessary to validate its efficacy and expand its clinical applicability.
Autologous stem cell transplantation (ASCT) and chimeric antigen receptor T-cell (CAR-T) therapy represent pivotal treatments for hematologic malignancies, each with distinct strengths and limitations. ASCT reduces tumor burden through myeloablative conditioning but remains susceptible to relapse, while CAR-T therapy precisely targets malignant cells but encounters challenges, including cytokine release syndrome (CRS), immune effector cell-associated neurotoxicity syndrome (ICANS), and limited persistence. Emerging evidence suggests that combining ASCT with CAR-T therapy yields synergistic effects. ASCT reshapes the immune microenvironment, lowers immunosuppressive cells and CRS risk, while CAR-T eliminates residual disease and promotes immune recovery. Clinical trials in relapsed/refractory B-cell lymphomas and multiple myeloma demonstrate complete remission rates (CRR) of 72%−100% and two-year progression-free survival (PFS) rates of 59%−83%, with severe CRS/ICANS incidences below 10%. However, the precise mechanisms underlying this synergy, optimal timing of CAR-T infusion after ASCT, and ideal dosing regimens require further definition. Future research should prioritize large-scale, randomized controlled trials and establish standardized protocols for toxicity management to maximize therapeutic benefits. By integrating the complementary strengths of ASCT and CAR-T, this combination strategy represents a promising approach for improving outcomes in high-risk hematologic malignancies; however, additional studies are necessary to validate its efficacy and expand its clinical applicability.
2025, 37(4): 521-533.
doi: 10.21147/j.issn.1000-9604.2025.04.04
Abstract:
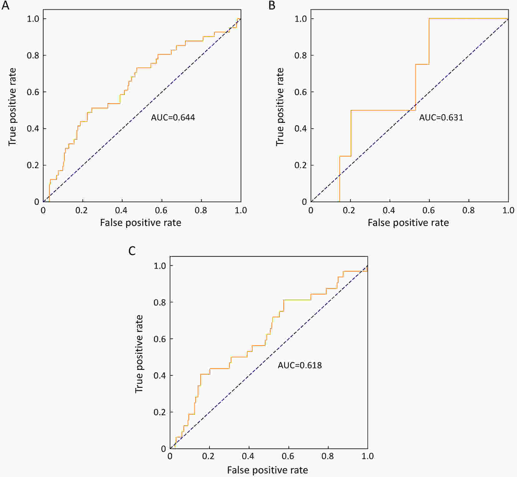
ObjectiveAcute myeloid leukemia (AML) patients with internal tandem duplications in the FMS-like tyrosine kinase 3 receptor gene (FLT3-ITD) receiving tyrosine kinase inhibitors maintenance after allogeneic hematopoietic stem cell transplantation (allo-HSCT) demonstrated improved survival outcomes, however, some still experienced relapse during the maintenance. This study aimed to explore risk factors which might be indicators for poor survival after allo-HSCT in this population. MethodsWe consecutively enrolled FLT3-ITD AML patients undergoing transplantation at three centers. By integrating genetic profiles with clinical information, we assessed their impact on transplant outcomes. ResultsA total of 196 patient were eligible in the analysis, among whom 14% harbored myelodysplasia-related (MR) mutations, including ASXL1, BCOR, EZH2, RUNX1, SF3B1, SRSF2, STAG2, U2AF1, and ZRSR2. Co-mutant MR was independently associated with poorer overall survival (OS) [hazard ratio (HR): 2.4, 95% confidence interval (95% CI): 1.1−5.3, P=0.030]. DNMT3A co-mutations strongly predicted adverse survival and relapse [OS: HR: 2.1, 95% CI: 1.0−4.3, P=0.045; relapse-free survival (RFS): HR: 2.2, 95% CI: 1.1−4.1, P=0.017; cumulative incidence of relapse (CIR): HR: 2.3, 95% CI: 1.1−4.8, P=0.030]. Compared to patients with negative measurable residual disease (MRD) complete remission (CR), no significant differences were observed in CR patients with positive MRD, while those without CR exhibited significantly inferior outcomes (P=0.003). ConclusionsPatients with myelodysplasia-related gene mutations (MRmut) and/or DNMT3A mutations experienced inferior outcomes after transplantation, requiring further exploration. Furthermore, similar prognoses among CR patients highlighted the need for monitoring specific molecular residual lesions.
2025, 37(4): 534-546.
doi: 10.21147/j.issn.1000-9604.2025.04.05
Abstract:
ObjectiveAllogeneic hematopoietic stem cell transplantation (allo-HSCT) is the only potentially curative method for treating myelodysplastic syndrome (MDS). Post-HSCT measurable residual disease (post-HSCT MRD) is associated with inferior transplant outcomes. In this prospective study, we aimed to investigate the prognostic value of post-HSCT MRD in relapse prediction in MDS. MethodsA total of 166 patients diagnosed with MDS were prospectively enrolled in this study. The Kaplan-Meier method was used to calculate the survival probabilities. Potential risk factors for outcomes after transplantation were evaluated through univariate and multivariate Cox regression models. ResultsFor patients with negative and positive post-HSCT MRD, the cumulative incidence of relapse (CIR) and disease-free survival (DFS) at 3 years were 5.9% and 69.6% (P<0.001) and 82.7% and 26.1% (P<0.001), respectively. In the multivariate analysis, post-HSCT MRD (HR=22.801, P<0.001) and Revised International Prognostic Scoring System (IPSS-R) risk stratification (HR=4.346, P=0.003) were independently correlated with relapse. A scoring system for relapse prediction was built based on post-HSCT MRD and IPSS-R stratification. The cumulative incidence of relapse at 3 years was 1.1%, 15.8%, and 91.7% for patients with scores of 0, 1, and 2, respectively (P<0.001). ConclusionsOur results demonstrated both post-HSCT MRD and IPSS-R scores were independent prognostic factors for OS, DFS, and relapse for MDS patients after allo-HSCT. The risk score system could better predict transplant outcomes and refine the risk stratification than alone in patients with MDS.
2025, 37(4): 547-550.
doi: 10.21147/j.issn.1000-9604.2025.04.06
Abstract:
2025, 37(4): 551-553.
doi: 10.21147/j.issn.1000-9604.2025.04.07
Abstract:
2025, 37(4): 558-574.
doi: 10.21147/j.issn.1000-9604.2025.04.09
Abstract:
ObjectiveAcral melanoma (AM), a unique subtype prevalent in China, develops on the palms, soles, and nail beds. Despite its distinct clinical and pathological features compared to cutaneous melanoma (CM), the molecular basis underlying these differences remains poorly understood. This study aims to perform a comprehensive comparative transcriptomic analysis of AM and CM at the single-cell level to uncover key molecular distinctions. MethodsWe analyzed single-cell RNA sequencing (scRNA-seq) data from 39 AM patients and 18 CM cases. Single-cell transcriptomic profiling was used to compare tumor cell subpopulations and microenvironmental differences. Bioinformatics tools were employed for cell clustering, differential gene expression analysis, cell-cell communication network inferences, and survival analysis. ResultsAM exhibited a significantly higher proportion of MPZ+ melanoma cells, a subpopulation with Schwann cell-like properties associated with poor prognosis. These MPZ+ melanoma cells established extensive communication networks with AM-specific immune and stromal components, prompting an immunosuppressive microenvironment and enhancing angiogenic potential. Survival analysis further indicated that the presence of MPZ+ melanoma cells is closely linked to worse clinical outcomes in AM patients. ConclusionsThis study provides novel insights into the molecular distinctions between AM and CM, highlighting the critical role of MPZ+ melanoma cells in AM progression. These findings enhance our understanding of AM pathophysiology and may contribute to the development of more targeted therapeutic strategies.
2025, 37(4): 575-591.
doi: 10.21147/j.issn.1000-9604.2025.04.10
Abstract:
ObjectiveHeterogeneity in the evidence of association between lifestyle factors and breast cancer (BC) incidence hampers initiatives to modify BC risk. This overview aims to synthesise evidence from systematic reviews (SRs) to inform lifestyle-related modifications for BC prevention. MethodsWe systematically searched (MEDLINE, EMBASE, and CINAHL) from January 2013 to August 2023 for SRs of the association between lifestyle factors [alcohol consumption, physical activity (PA), body mass index (BMI), smoking, breastfeeding, oral contraception (OC), hormone replacement therapy (HRT), and sedentary behavior (SB)] and BC incidence. A narrative data synthesis was performed. ResultsSixty-six SRs met the eligibility criteria. Evidence from 40 SRs indicated consistent associations between the risk of BC and postmenopausal BMI increase (relative risk increase: 2%−21%), use of HRT (risk increase: 23%−33%), smoking (risk increase: 4%−86%), and alcohol consumption (risk increase: 4%−61%). Additionally, evidence from 23 SRs suggested protective associations with PA (risk decrease: 10%−39%), breastfeeding (risk decrease: 9%−53%), and healthy lifestyle scores (protective about 20%−26%). However, inconsistent and/or statistically non-significant associations were found between BC incidence and premenopausal BMI increase [relative risk (RR): 0.78−1.08], SB (RR: 1.01−1.20), and OC use [odds ratio (OR): 1.01−1.35]. ConclusionsThis overview identifies lifestyle factors associated with BC incidence, highlighting both harmful and protective factors. Our summary findings can support information and interventions related to modifying these factors, including limiting alcohol and smoking, or avoiding postmenopausal BMI increase and HRT.
2025, 37(4): 592-602.
doi: 10.21147/j.issn.1000-9604.2025.04.11
Abstract:
ObjectiveRegular cancer screening must be monitored to improve gastric cancer (GC) survival rates and maximize participation. This study examined adherence to regular GC screening over a 10-year period and identified the factors influencing adherence. MethodsThis retrospective cohort study was conducted using data from the Korean National Cancer Screening Program (KNCSP) between 2011 and 2020. The total cohort comprised 400,113 adults aged 40 years who were newly eligible for and participated in GC screening in 2011. The participants were followed up for 10 years to assess their adherence to biennial screening recommendations. They were categorized into two groups: the non-regular screening (non-RS) group, which included individuals who did not participate in subsequent screenings, and the regular screening (RS) group, which included those who participated in at least one follow-up screening. Multiple logistic regression analyses were performed to identify the factors associated with adherence to regular GC screening. ResultsOver 10 years, 59% of the participants completed at least four of the five recommended screenings, while 10% did not participate after their initial screening. Male participants had higher odds of non-adherence than females [adjusted odds ratio (aOR)=1.429, 95% confidence interval (95% CI): 1.394−1.464; P<0.001]. Non-adherence was more prevalent among self-employed individuals (aOR=1.208, P<0.001). Among males, those in the lowest income group were 1.267 times more likely to not undergo regular screening than those in the highest income group. ConclusionsLong-term adherence to regular GC screening in South Korea remains suboptimal. Socioeconomic disparities persist, highlighting the need for tailored interventions to improve adherence and enhance public health.
2025, 37(4): 603-623.
doi: 10.21147/j.issn.1000-9604.2025.04.12
Abstract:
ObjectiveAdvanced gastric cancer remains highly refractory to therapy, with limited immunotherapy efficacy due to tumor microenvironment heterogeneity. Primary cilia, microtubule-based organelles involved in tumor progression, remain insufficiently explored in gastric cancer. This study aimed to define primary cilia subtypes and establish prognostic signatures for personalized treatment strategies. MethodsBulk transcriptomic data from over 1,500 gastric cancer samples were integrated to define distinct primary cilia subtypes. A primary ciliary phenotype-associated signature (PCS) was established using a multi-machine learning survival framework incorporating ten algorithms. The prognostic predictive value and immunotherapy response prediction capability of PCS were validated across multiple independent cohorts. Single-cell RNA sequencing analysis was performed to identify cellular populations associated with high-PCS phenotype. Causal weighted gene co-expression network analysis (WGCNA) was employed to identify driving factors, followed by functional validation through cell culture experiments and xenograft models. ResultsTwo distinct primary cilia subtypes were identified and validated across all cohorts, with C2 patients exhibiting significantly worse overall survival compared to C1 patients. PCS demonstrated robust predictive value for both prognosis and immunotherapy response, with superior accuracy compared to existing models across multiple validation cohorts. High-PCS patients showed reduced tumor purity, increased stromal cell infiltration, and poor response to immunotherapy. Single-cell analysis revealed that fibroblasts had the highest PCS scores and identified a novel secreted modular calcium-binding protein 2 (SMOC2)high myofibroblastic cancer-associated fibroblast (mCAF) population as the key driver of high-PCS phenotype. Functional experiments confirmed that SMOC2 knockdown significantly suppressed gastric cancer cell proliferation, migration, and invasion, while promoting mCAF-to-inflammatory cancer-associated fibroblasts (iCAF) transition. ConclusionsPCS serves as a robust prognostic biomarker for gastric cancer patients. Additionally, targeting SMOC2high mCAFs represents a potential therapeutic strategy for patients with high-PCS gastric cancer.
2025, 37(4): 624-638.
doi: 10.21147/j.issn.1000-9604.2025.04.13
Abstract:
ObjectiveThis study aimed to develop and validate a predictive model for postoperative complications in gastrointestinal cancer patients using a large multicenter database, based on machine learning algorithms. MethodsWe analyzed the clinicopathological data of 3,926 gastrointestinal cancer patients from the Prevalence of Abdominal Complications After GastroEnterological surgery (PACAGE) database, covering 20 medical centers from December 2018 to December 2020. The predictive performance was evaluated using receiver operating characteristic (ROC) curves and Brier Score. ResultsThe patients were divided into gastric (2,271 cases) and colorectal cancer (1,655 cases) groups and further divided into training and external validation sets. The overall postoperative complication rates for gastric and colorectal cancer groups were 18.1% and 14.8%, respectively. The most common complication was the intra-abdominal infection in both gastric and colorectal cancer groups. In the training set, the Random Forest (RF) model predicted the highest mean area under the curve (AUC) values for overall complications and different types of complications, in both the gastric cancer group and the colorectal cancer group, with similar results obtained in the external validation set. ROC curve analysis showed good predictive performance of the RF model for overall and infectious complications. An application-based clinical tool was developed for easy application in clinical practice. ConclusionsThis model demonstrated good predictive performance for overall and infectious complications based on the multi-center database, supporting clinical decision-making and personalized treatment strategies.
2025, 37(4): 639-656.
doi: 10.21147/j.issn.1000-9604.2025.04.14
Abstract:
ObjectivePancreatic cancer is a global health challenge, yet the Western Pacific Region (WPR) lacks comprehensive analysis of its burden and human resources for health (HRH) distribution. This study aims to assess trends in pancreatic cancer and HRH density in the WPR and investigate their relationship. MethodsPancreatic cancer data from GBD 2021 and annual HRH density from GBD 2019 were analyzed. Joinpoint regression was used to analyze temporal trends of pancreatic cancer burden and HRH density across 31 countries of the WPR. Spearman’s rank correlation analysis and generalized linear models were applied to investigate the association between HRH density and pancreatic cancer burden. ResultsFrom 1990 to 2021, pancreatic cancer incidence in the WPR increased by 209%, from 59,766 to 184,612 cases, with a 201% rise in mortality and a 152% increase in disability-adjusted life years (DALYs). In 2021, smoking and high fasting plasma glucose were major risk factors, responsible for 16.43% and 23.29% of deaths, respectively. HRH density was positively correlated with the age-standardized incidence (P=0.767), death (P=0.752), and DALYs (P=0.726) rates of pancreatic cancer, and in 2019, most countries’ HRH densities were below the Universal Health Coverage targets. ConclusionsDespite improvements in HRH, notable distribution inequalities and shortages persist, limiting capabilities in pancreatic cancer diagnosis and treatment. The positive association between burden and HRH density reflects improved diagnostics from HRH growth but persistent treatment insufficiency due to shortages, and suggests that targeted HRH investment, strengthened primary care, and integration of palliative care are crucial to alleviating the burden.

Abstract
FullText HTML
PDF 873KB